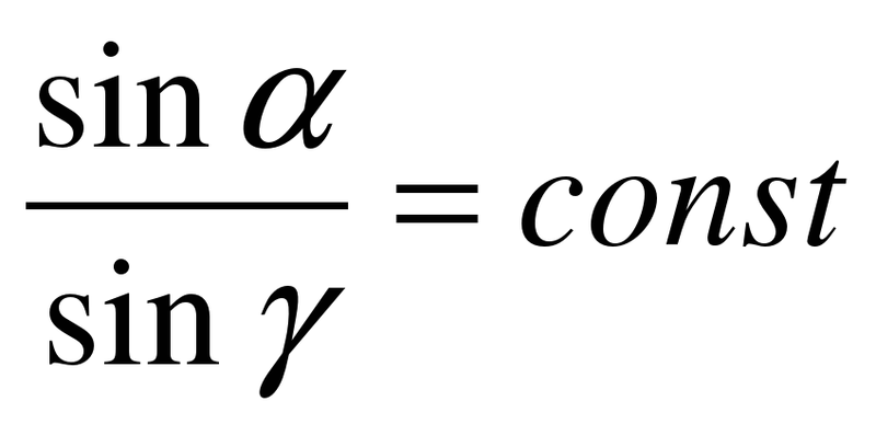
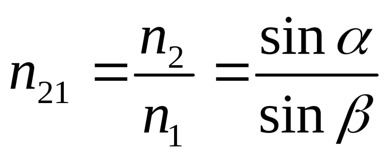
Лабораторные работы по физике, 11 класс
Мякишев
 
 
 
 
 
 
 
 
11-4