Лабораторные работы по физике, 11 класс
Мякишев
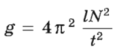
Измеряем длину маятника
 
Fyuse
Get notified about upcoming versions, features, and more.
Original link